[home]
Math 316, Differential Equations
Winter 2000
Peter Selinger


Course Information

See the Course Information Sheet.

Announcements

Grades. See here for an explanation of how your grade was calculated.

Lagrange Applet. The Lagrange Applet that I showed you in class can be found here.

Useful Web Page. Check out the following web page, which contains lots of useful information on differential equations (found by Greg Giunto): S.O.S. Math - Differential Equations.

Reading Assignments

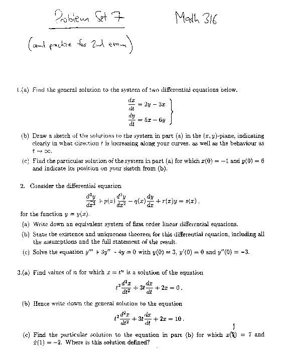
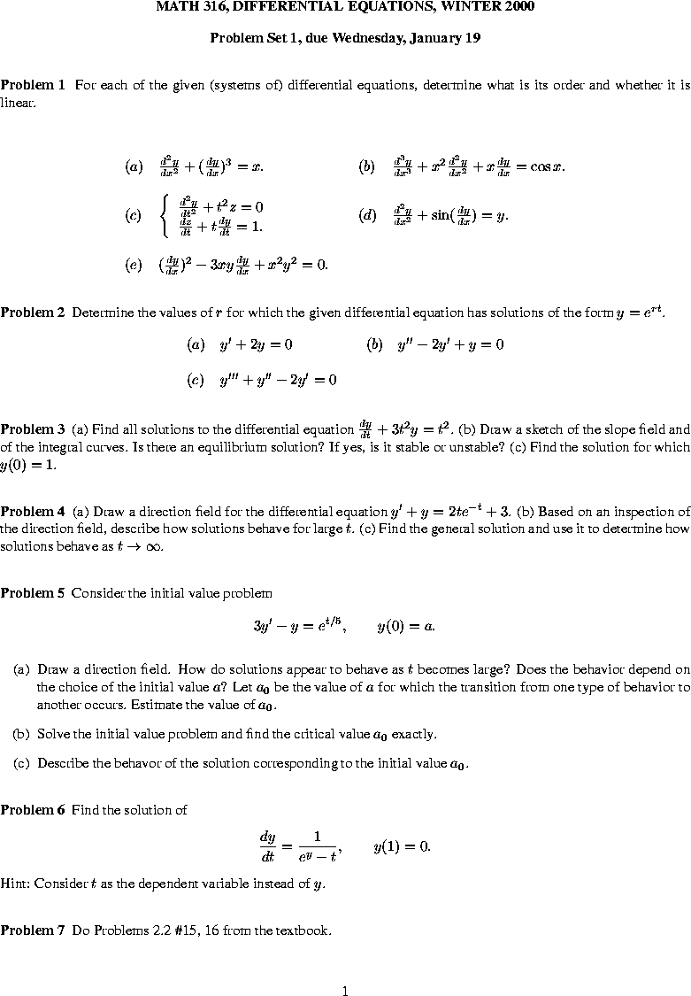
Homework Assignments

Handouts

Answers to the First Exam. (Feb 11). DVI, PostScript, PDF.

Possible cases for phase plane in 2 dimensions. (Mar 13). HTML.

Answers to the Second Exam (corrected). (Mar 22). DVI, PostScript, PDF.

Answers to the Final Exam (corrected). (Apr 18). DVI, PostScript, PDF.


Check out this week's Problem of the Week.

To Peter Selinger's Homepage: [home]


Peter Selinger / Department of Mathematics and Statistics / Dalhousie University
selinger@mathstat.dal.ca / PGP key
Updated Apr 18, 2000